| 일 | 월 | 화 | 수 | 목 | 금 | 토 |
|---|---|---|---|---|---|---|
| 1 | ||||||
| 2 | 3 | 4 | 5 | 6 | 7 | 8 |
| 9 | 10 | 11 | 12 | 13 | 14 | 15 |
| 16 | 17 | 18 | 19 | 20 | 21 | 22 |
| 23 | 24 | 25 | 26 | 27 | 28 | 29 |
| 30 |
Tags
- synology
- SciPy
- 알고리즘
- Python
- pandas
- RNN
- 삼성소프트웨어멤버십
- pip
- Button
- CNN
- javascript
- pycharm
- mean
- Numpy
- Splunk
- ipad
- E-P1
- DFS
- keras
- GT-S80
- dataframe
- index
- SPL
- mariadb
- LSTM
- Lotto
- GitHub
- install
- Series
- imread
Archives
- Today
- Total
잠토의 잠망경
[python] 표본분산, 불편분산, 표준편차 본문
표본분산
특징
① 분산을 과소추정 함

print('표본 분산: {}'.format(sp.sum((datas - mu)**2)/(len(datas)-0)))
print('표본 분산: {}'.format(sp.var(datas, ddof=0)))
불편분산
특징
① 분산을 과소추정 하지 않는다.
② 총길이(N)에서 1을 빼준다.

print('불편 분산: {}'.format(sp.sum((datas - mu)**2)/(len(datas)-1)))
print('불편 분산: {}'.format(sp.var(datas, ddof=1)))
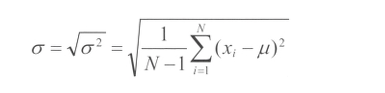
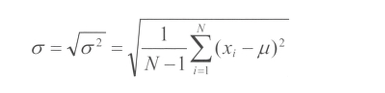
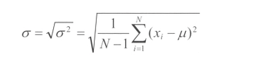
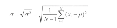
표준편차
특징
① 제곱을 없엤다.
why? 계산하는데 복잡하다.

print('표준 편차: {}'.format(sp.sqrt(sp.sum((datas - mu) ** 2) / (len(datas) - 1))))
print('표준 편차: {}'.format(sp.std(datas, ddof=1))) # 표준편차
full code
def sample_var():
import numpy as np
import scipy as sp
datas = np.asarray([2, 3, 3, 4, 4, 4, 4, 5, 5, 6])
#평균 찾기
mu = sp.mean(datas)
print('mean: {}'.format(mu))
print('표본 분산: {}'.format(sp.sum((datas - mu)**2)/(len(datas)-0)))
print('표본 분산: {}'.format(sp.var(datas, ddof=0))) # 분산
print('-'*100)
print('불편 분산: {}'.format(sp.sum((datas - mu)**2)/(len(datas)-1)))
print('불편 분산: {}'.format(sp.var(datas, ddof=1))) # 분산
print('-'*100)
print('표준 편차: {}'.format(sp.sqrt(sp.sum((datas - mu) ** 2) / (len(datas) - 1))))
print('표준 편차: {}'.format(sp.std(datas, ddof=1))) # 표준편차
Comments